IOTA - dl6be Webseite von Volkert Meyer - Friedrich-von-Hagenow-Strasse 33 18586 Sellin DARC V08 JO64ui EU-057 DLFF-031
Direkt zum Seiteninhalt
Hauptmenü:
Startseite
Infos zu DL6BE
QTH
Map
Amateurfunk
Station von DL6BE
2m FM Relais
IOTA
COTA
Funkerregeln
AFU Runden
Mitgliedschaft
bisher erreicht
Diplome
ex Calls
Ich heiratete einen Amateur
Flohmarkt
Antennen
Hy Gain Parts
Dioden
Transistoren
IC`s
Röhren
Bauelemente
Geräte
Weltzeituhr
Weltzeituhr
Insel Rügen
Insel Rügen
Einmal am Tag
Sprüche
Unsere WG in Sellin
"Inselfrieden"
"Bauer Lange"
Kliesows "Reuse"
Weihnachtsfeier 2018
Impressum
Impressum
Genehmigungen
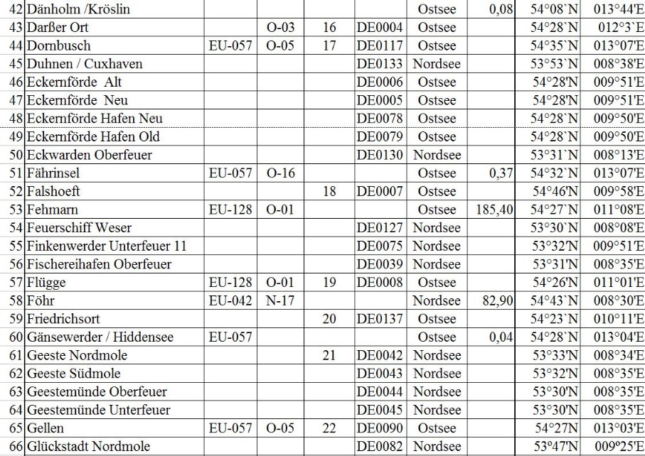
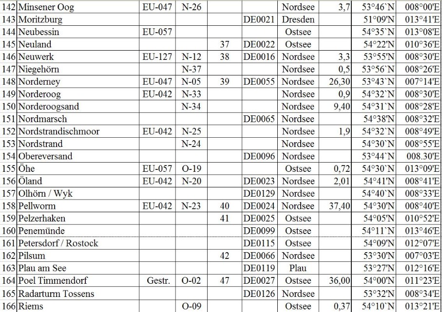
IOTA
Amateurfunk
Startseite
|
Infos zu DL6BE
|
QTH
|
Amateurfunk
|
Flohmarkt
|
Weltzeituhr
|
Insel Rügen
|
Impressum
|
Generelle Seitenstruktur
Zurück zum Seiteninhalt
|
Zurück zum Hauptmenü
Um diese Website nutzen zu können, aktivieren Sie bitte JavaScript.